Thursday, November 5, 2015

FBD's


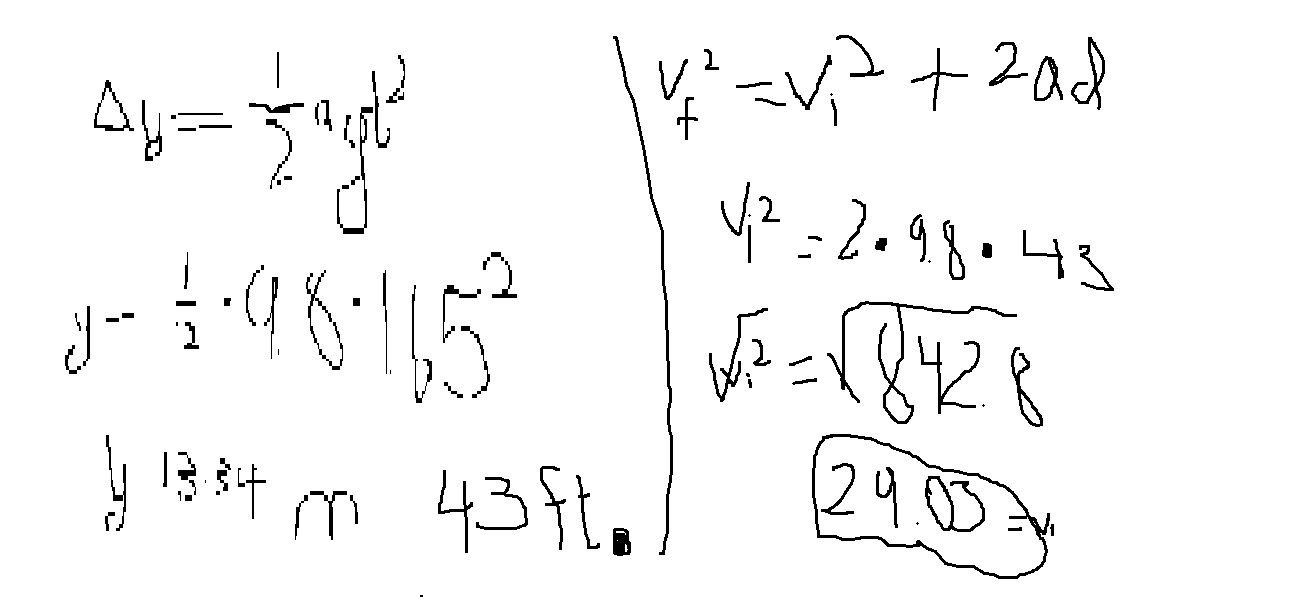
math stuff




Results

phew...
after careful calculations, our rocket turned out okay. The egg survived by the hair on its chinny chin chin. There was not much time left before the parachute deployed.

weapons of mass contruction.



In order to construct our rocket, we started with the body. We had one soda bottle and some tape and cardboard to make the wings. spreading out the wings on the rocket and adding the nose cone later made it fly relaviely well.

For the additional nose cone, we used the top off of another bottle rocket. inside that piece of the rocket we made the mechanism in order to keep the egg safe. This had a parachute made out of trash bags and a container made out of cardboard and bubble wrap. This then fit inside of the top of the rocket, our nose cone. We added some support paper to make sure the nose cone stayed on.

Monday, November 2, 2015

I am the rocket man (materials)

I order to start the rocket, I got materials.
-We had trash bags (had previously)
-string (had previously)
-tape (had previously)
-duct tape (1.50 a roll)
-soda bottles (.99 for a bottle)
-spray paint (4.00)
- cardboard (had previously)
-bubble wrap (had previously)
Image result for bubble wrapImage result for soda bottle